Skip to main content

Maternal Health Task Force

The Maternal Health Task Force strives to create a strong, well-informed and collaborative community of individuals focused on ending preventable maternal mortality and morbidity worldwide.

Location

677 Huntington Avenue
Boston, MA 02115

Blog

  • April 6, 2018

    New Positions in Global and Maternal Health

    Interested in a position in reproductive, maternal, newborn, child, adolescent or global health? Every month, the Maternal Health Task Force rounds up job and internship postings from around the globe. This month, we are featuring positions with UNFPA, Guttmacher Institute, Harvard T.H. Chan School of Public Health and other organizations…read more

    new positions in maternal newborn health
  • April 5, 2018

    World Health Day 2018: Maternal Health Care and Universal Health Coverage

    This Saturday, 7 April is World Health Day, and this year’s theme is universal health coverage (UHC). Accessible maternal health care is a critical component of UHC that affects women, their families, communities and nations at large. We have rounded up resources exploring maternal health care and UHC…read more

    World Health Day
  • April 3, 2018

    Upcoming Webinar: A Global Survey of Skilled Birth Attendants

    Please join the Fistula Community of Practice on 10 April 2018 at 9:00 am Eastern Daylight Time for a webinar sharing findings from a global survey of skilled-birth attendants (SBAs) in low- and middle-income countries. The survey examined SBAs’ training, knowledge, practices and facility environment as they relate to intrapartum and postpartum bladder care and management of prolonged/obstructed labor…read more

  • March 30, 2018

    Importance of Weight Management in Women of Childbearing Age

    Developing effective strategies to prevent excessive weight gain in women of childbearing age before, during and after pregnancy is critical to preventing obesity-related maternal and newborn health complications…read more

  • March 28, 2018

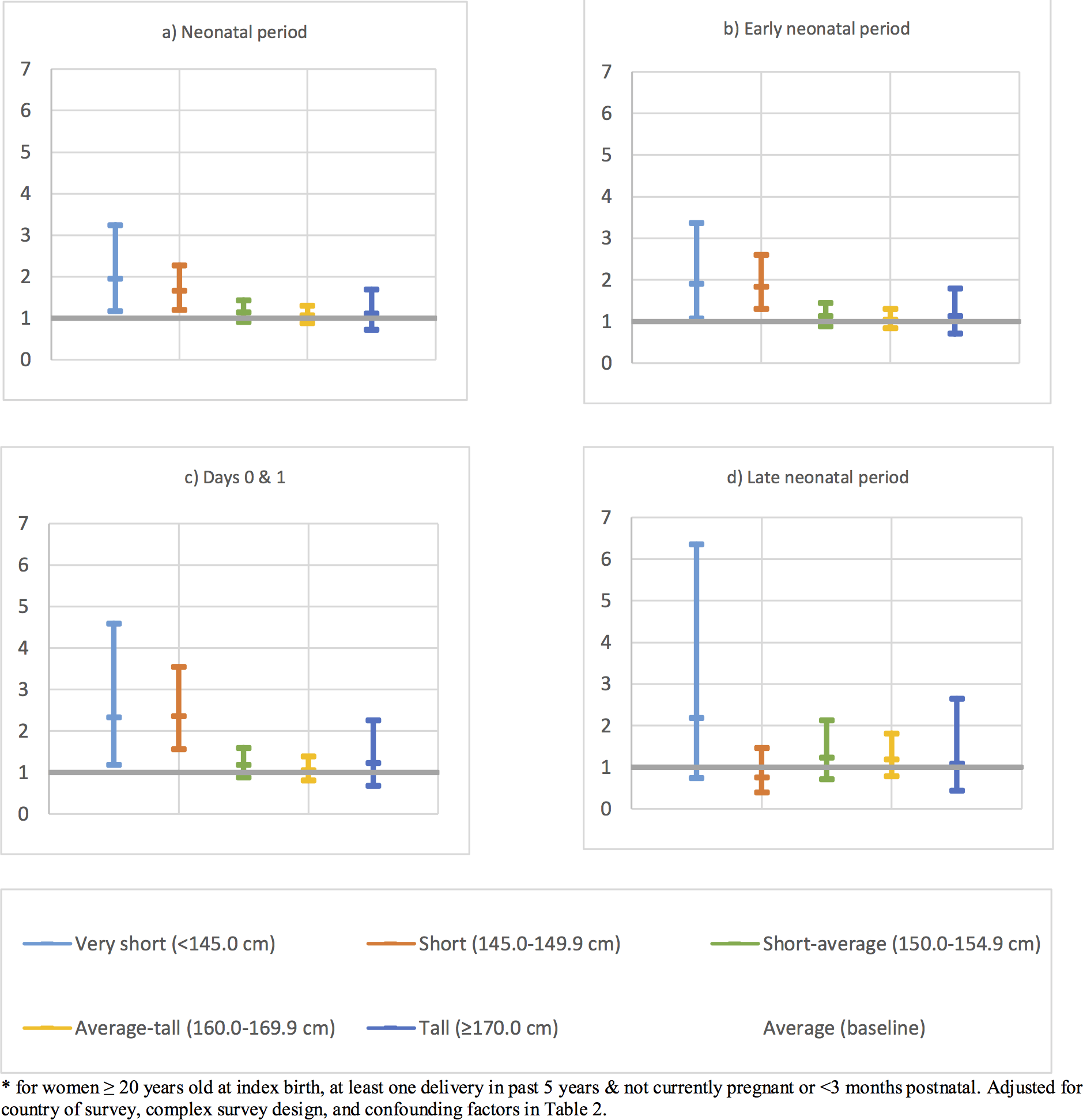
    Linking Maternal Height and Poor Birth Outcomes in Sub-Saharan Africa

    A paper recently published in PLOS ONE examines the association between maternal height and cesarean section as well as maternal height and neonatal mortality in 34 sub-Saharan African countries, a region facing numerous maternal and neonatal health challenges along with the smallest gains—even losses—in average adult height during the last century…read more

  • March 27, 2018

    Insight Into Non-Communicable Diseases and Maternal Health Around the Globe

    Recent research published in PLOS ONE focuses on non-communicable illness during pregnancy and its impact on women and their children. Read highlights from the latest collection in partnership with the Maternal Health Task Force, “Non-Communicable Diseases and Maternal Health Around the Globe”……read more

    Image from UNICEF (Flickr) under CC BY-NC-ND 2.0
  • March 23, 2018

    New Resources Online from Global Alliance for Maternal Mental Health

    Earlier this month, the Global Alliance for Maternal Mental Health—comprising 13 international agencies—launched a new website related to improving the mental health of women during pregnancy and the postnatal period. This new online platform is full of resources, including videos of women sharing their real-life stories in their own words…read more

    Global Alliance for Maternal Mental Health logo
  • March 22, 2018

    Improving Health Facility Water, Sanitation and Hygiene (WASH) for Enhanced Delivery of Quality Maternal and Newborn Health Services in Kenya

    World Water Day is an opportunity to reflect on the availability—or lack—of clean water, sanitation and hygiene (WASH) facilities in places providing maternal health care around the world. A 2015 World Health Organization rapid assessment of WASH coverage in health care facilities in 54 low- and middle-income countries found that 38% of these facilities lacked access to an improved water source, or one that is likely to be protected from outside contamination. Learn how Kenya has improved WASH conditions in select health facilities in high-burden districts…read more

    Photo Credit: Eric Sakwa, UNOPS Engineer, Kenya
  • March 20, 2018

    Strengthening Health Systems Improves Health Care for Women, Children and Youth

    “We cannot achieve our goals of ending maternal and child deaths without addressing critical health system barriers around the world,” said Grace Chee of the U.S. Agency for International Development’s flagship Maternal and Child Survival Program at a recent Wilson Center event. To improve the lives of mothers and children, health workers must address the underlying causes of poor health outcomes, including systemic weaknesses in health care governance, financing and human resources…read more

  • March 16, 2018

    New Report Explores Why Preventable Maternal Deaths Continue to Occur in the United States

    The new Report from Nine Maternal Mortality Review Committees provides critical data on maternal mortality in the United States, confirming that the majority of pregnancy-related deaths in the country are preventable. It includes in-depth insight into causes of death and racial disparities and highlights actionable prevention recommendations made by the Nine Committees…read more

We welcome contributions from maternal health experts—please review our guest blog guidelines to submit your article for consideration.